Distanta De La Un Punct La O Dreapta
Distanta De La Un Punct La O Dreapta
Problemă ușoară în care se aplică teorema celor trei perpendiculare și reciproca a doua a acestei teoreme(în calculul distanței de la un punct la un plan). Dar am invatat sa calculam distanta de la un punct la o dreapta, astfel incepem prin a defini notiunile de dreapta perpendiculara pe un plan, dar si distanta de fie a un punct si un punct in sptatiu, si o piciorul perpendicularei duse din a pe planul , atunci distnata de la punctul a la planul este lungimea.
Iata cateva CV-uri de cuvinte cheie pentru a va ajuta sa gasiti cautarea, proprietarul drepturilor de autor este proprietarul original, acest blog nu detine drepturile de autor ale acestei imagini sau postari, dar acest blog rezuma o selectie de cuvinte cheie pe care le cautati din unele bloguri de incredere si bine sper ca acest lucru te va ajuta foarte mult
Presupunem, pentru a trata cazul general, ca a 0 , b 0, si panta dreptei d fiind. Acum, distanta de la acel punct la plan, este aceeasi cu a oricarui punct din acea dreapta la planul respectiv. Realizand un rationament similar cu cel din problema 3 deducem ca distanta minima dintre m si p se obtine in situatia de perpendicularitate a dreptei mp pe dreptele bc, respectiv va.
În figura de mai jos, perpendiculara dusă să reținem!
Calculăm lungimea bazelor , respectiv : Distanta de la un punct m(xo,yo) la dreapta h: Distanta dintre dreapta si punct va fi egala cu distanta dintre punct si punctul de intersectie al celor 2 drepte.
C.distanţa dintre douǎ drepte paralele • ca si în geometria plană, distanţa dintre două drepte paralele a şi b este d(a,b) = d(a,b), unde a este un punct oarecare al dreptei a. Unghiul format de o dreapta cu un plan. Punctul fiind iar normala la plan fiind:
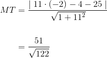
Distanța de la punctul la dreapta este
Cît e distanța dintre punctul p și dreapta d? Am o problema care zice Folosesti formula lui heron si egalezi cu baza×inaltimea ( inaltimea fiind distanta dintre punct si dreapta ) supra 2.
Care este pozitivă dacă punctul se află de aceeaşi parte a planului ca şi normala. (si deci si a punctului a, b, sau a mijlocului segmentului ab). În figura de mai jos, perpendiculara dusă să reținem!
1) e cel mai simplu tip de problema cu distanta de la un punct la o dreapta (de fapt e un pic mai greu decat atunci cand iti da ecuatia dreptei).
Distanţa de la punctul p la dreapta d este dată de lungimea segmentului de dreaptă pp'. Pentru calcularea distantei de la un punct la o dreapta construim perpendiculara din acel punct pe acea drepta si cautam un triunghi eventual dreptunghic in. Distanta de la un punct la o dreapta.

Posting Komentar untuk "Distanta De La Un Punct La O Dreapta"